
📝 2026年度 大阪府公立高校 一般入試数学B 解説
各大問の解説はこちらから確認できます。
問題はこちらを参照(産経新聞)
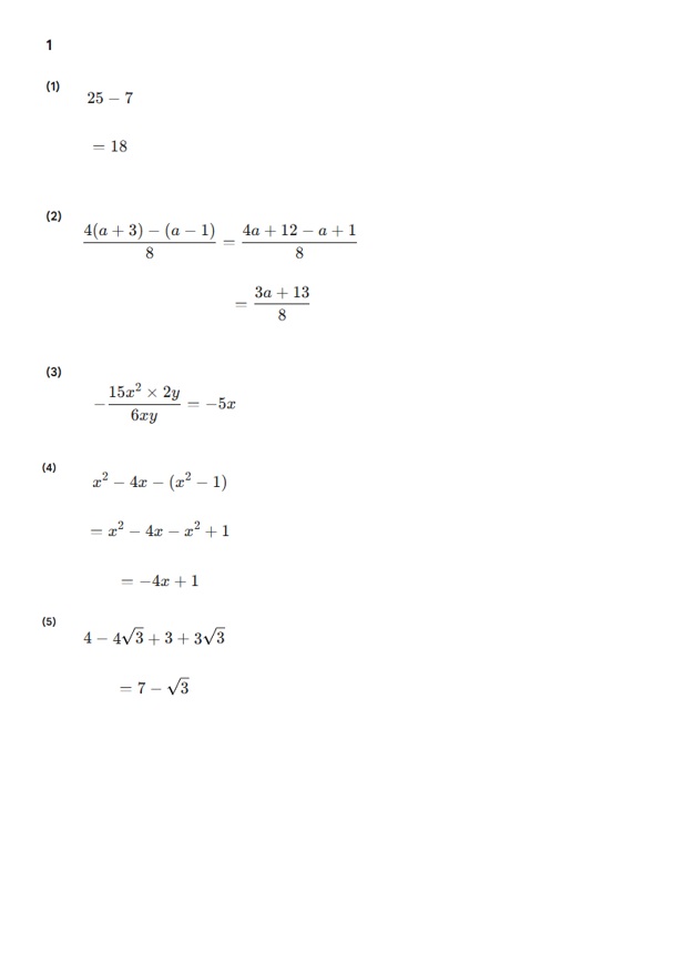
第1問
問題のポイント
・例年通りの難易度
・配点が高いのて正確に計算していくことが大切
・例年通りの難易度
・配点が高いのて正確に計算していくことが大切

第2問
問題のポイント
・根号や度数分布表など理論問題も出題
・関数、確率の問題は昨年より難易度が高くなった
・根号や度数分布表など理論問題も出題
・関数、確率の問題は昨年より難易度が高くなった


第3問
問題のポイント
・1次関数の文章題
・例年通りの出題範囲ですが、難易度は少し低め
・1次関数の文章題
・例年通りの出題範囲ですが、難易度は少し低め

第4問[Ⅰ]
問題のポイント
・相似の証明、平面図形
・相似を使った面積の問題では辺の長さが求められるかがポイント
・相似の証明、平面図形
・相似を使った面積の問題では辺の長さが求められるかがポイント


第4問[Ⅱ]
問題のポイント
・空間図形
・体積の問題では、切り取った図形の形を正確に読み取れるかで変わる
・空間図形
・体積の問題では、切り取った図形の形を正確に読み取れるかで変わる




